Skip to content

isLinesIntersection (2D & 3D)

Functions that test whether two line primitives (segments, rays, or infinite lines) intersect in 2D or 3D space.


Function Signatures

2D Intersection

template<typename LineT>
// Check intersection and optionally retrieve the intersection point.
bool isLinesIntersection2D(
    const LineT& geoAB,
    const LineT& geoCD,
    Eigen::RowVector2d& intersection
);

// Overload without retrieving the intersection point. 
template<typename LineT>
bool isLinesIntersection2D(
    const LineT& geoAB,
    const LineT& geoCD
);

Parameters

  • geoAB: The first 2D line primitive (e.g., Segment2D, Ray2D, Line2D). Must provide members P1 and P2 of type Eigen::RowVector2d.

  • geoCD: The second 2D line primitive, with the same requirements as geoAB.

  • intersection: (Optional) If the line primitives intersect, receives the intersection point.

Return Value

  • true if the two line primitives intersect; otherwise, false.

3D Intersection

// Check intersection within a distance threshold and retrieve the closest points.
template<typename T1, typename T2>
bool isLinesIntersection3D(
    const T1& geoAB,
    const T2& geoCD,
    std::tuple<Eigen::RowVector3d, Eigen::RowVector3d, double>& output,
    double threshold
);

// Overload without retrieving the intersection point.
template<typename T1, typename T2>
bool isLinesIntersection3D(
    const T1& geoAB,
    const T2& geoCD,
    double threshold
);

Parameters (3D Version)

Parameter Type Description
geoAB Any 3D line primitive (e.g., Segment3D, Ray3D, Line3D) with P1, P2 of type Eigen::RowVector3d. First line/ray/segment.
geoCD Same as geoAB. Second line/ray/segment.
output std::tuple<Eigen::RowVector3d, Eigen::RowVector3d, double> (optional) If the line primitives intersect, this parameter will hold the closest points and the distance.
threshold double The maximum distance for which the line primitives are considered to intersect (only for 3D versions).

Return Value

  • true if the minimum distance between the two line primitives is ≤ threshold; otherwise false.

Example Usage

#include "LiteGeometry.h"

int main() {
    // Define the endpoints of two 3D segments
    Eigen::RowVector3d A(1, 1, 0);
    Eigen::RowVector3d B(0, -1, 0.4);
    Eigen::RowVector3d C(1, -1, 0);
    Eigen::RowVector3d D(0, 0, 0.5);
    Segment3D AB{ A ,B };
    Segment3D CD{ C ,D };

    // Tuple to hold the closest points and their distance
    std::tuple<Eigen::RowVector3d, Eigen::RowVector3d, double> intersectionInfo;

    // Test 1: threshold = 0.01
    bool intersects1 = isLinesIntersection3D(AB, CD, intersectionInfo, 0.01);

    // Test 2: threshold = 0.1
    bool intersects2 = isLinesIntersection3D(AB, CD, intersectionInfo, 0.1);

    return 0;
}

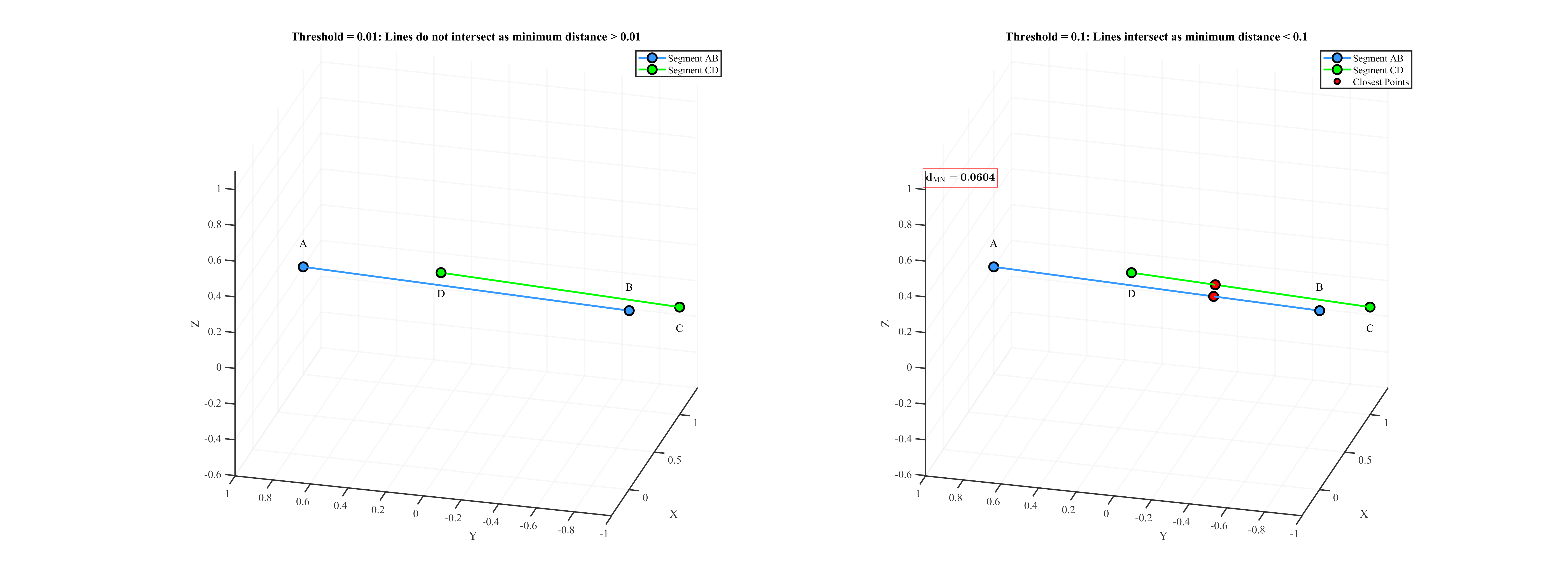
The minimum distance between segments AB and CD is 0.0604.

Left: with threshold = 0.01, the segments are considered non-intersecting.

Right: with threshold = 0.1, they are considered intersecting.