Skip to content

rasterizeBresenhamLine (2D & 3D)

These functions implement Bresenham’s algorithm to generate discrete grid points that approximate a line segment in 2D or 3D space. Each function returns a unique set of integer coordinates stored in a RowVector2iSet or RowVector3iSet.

Function Signatures

2D Version

RowVector2iSet rasterizeBresenhamLine2D(
    const Eigen::RowVector2d& p1,
    const Eigen::RowVector2d& p2
);

RowVector2iSet rasterizeBresenhamLine2D(
    const Eigen::RowVector2d& p1,
    const Eigen::RowVector2d& p2,
    std::vector<Eigen::RowVector2i>& rawLinePoints
);
- Parameters: - p1, p2 (Eigen::RowVector2d): Endpoints of the line segment in 2D space.
- rawLinePoints (optional, std::vector<Eigen::RowVector2i>): Sequence of discrete grid points along the line before corner expansion.

  • Returns: A RowVector2iSet containing the line points along with their four neighboring corner offsets.

3D Version

RowVector3iSet rasterizeBresenhamLine3D(
    const Eigen::RowVector3d& p1,
    const Eigen::RowVector3d& p2
);

RowVector3iSet rasterizeBresenhamLine3D(
    const Eigen::RowVector3d& p1,
    const Eigen::RowVector3d& p2,
    std::vector<Eigen::RowVector3i>& rawLinePoints
);
- Parameters: - p1, p2 (Eigen::RowVector3d): Endpoints of the line segment in 3D space.
- rawLinePoints (optional, std::vector<Eigen::RowVector3i>): Sequence of discrete voxels along the line before corner expansion.

  • Returns: A RowVector3iSet containing the line voxels along with their eight neighboring offsets.

Example Usage

#include "RasterizeTool.h"

int main() {

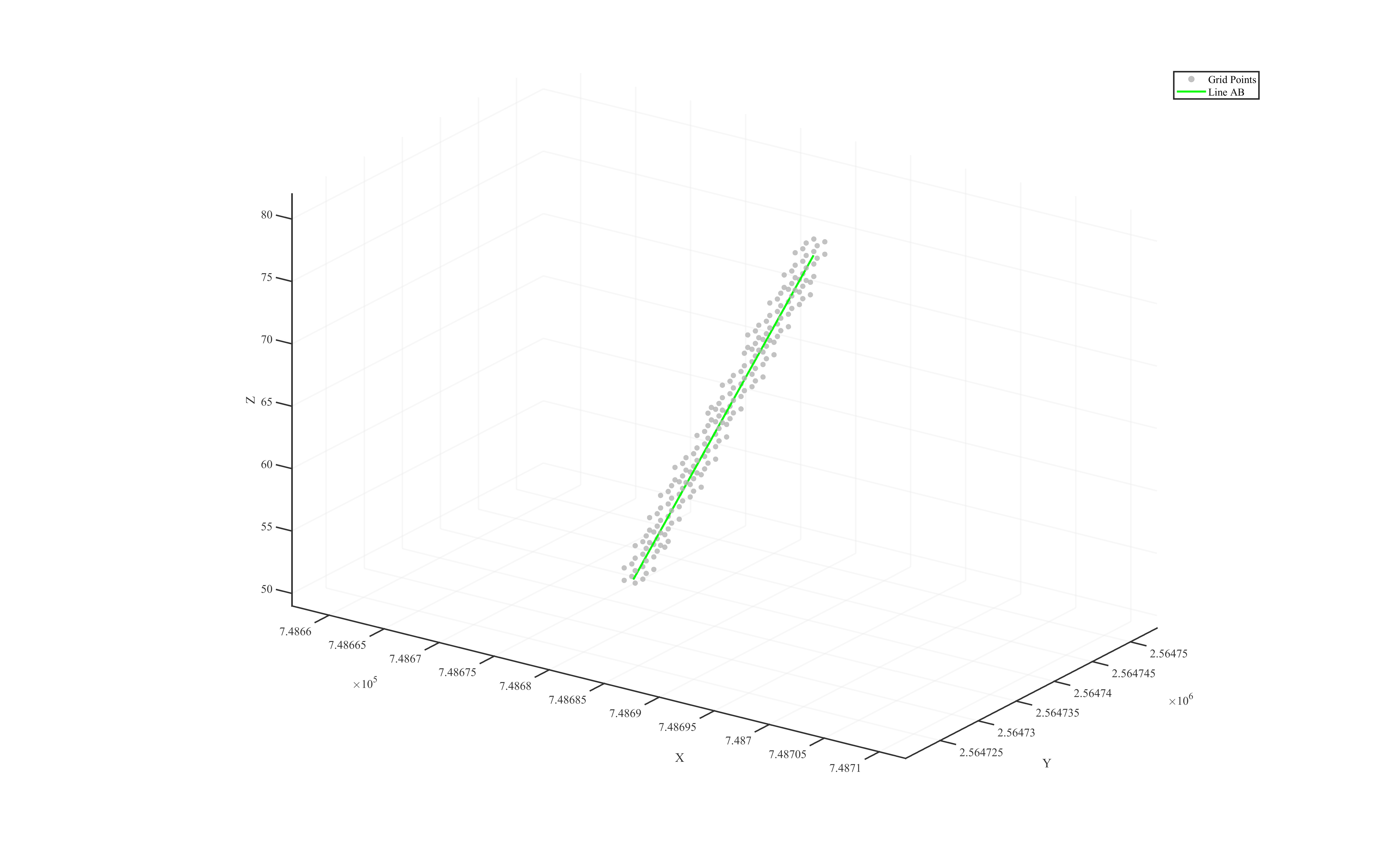
    Eigen::RowVector3d A(748674.4539194419, 2564739.5306861168, 49);
    Eigen::RowVector3d B(748694.42507040221, 2564734.3476669602, 81);
    RowVector3iSet linePointsSet = rasterizeBresenhamLine3D(A, B);

    return 0;
}

Below is a visualization of the rasterized 3D line segment between points A and B: